Rezultate 2025

 

SIA-PRO

 

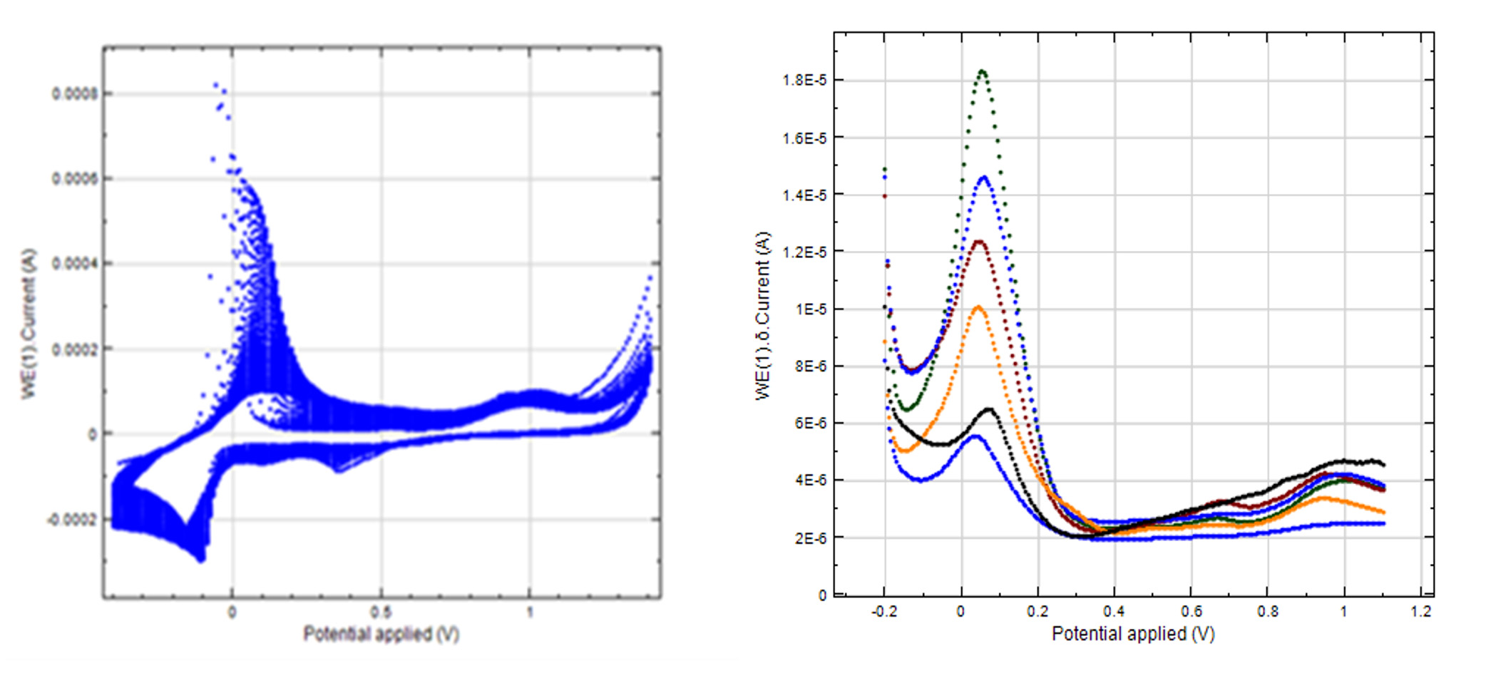
Dezvoltarea unui sistem electroanalitic integrat pentru determinarea metalelor grele (Pb, Cd, Fe) din ape reziduale și suplimente alimentare.

 

Elaborarea unor metode electrochimice de amprentare moleculară pentru detecția PFOA/PFOS- metodă protejată prin cerere de brevet.

 

 

Realizarea unei tehnologii de obtinere senzori electrochimici pe bază de nano-zime Mo, pentru determinarea BPA din matrici complexe.

 

 

 

 

Obținerea de produse funcționale cu potențial de transfer asociate cererilor de brevet A00327/24.07.2025 si A00606/09.12.2025

 

 

BIOTEHMED

 

Dezvoltarea de constructe 3D biopolimerice Gel/Alg cu geometrie controlată prin printare 3D și stabilizare post-printare.

 

Elaborarea de compozițiilor ternare bioactive (HM–PF–Alg) optimizate in silico/in vitro, cu aplicații în regenerarea tisulară.

 

 

 

Dezvoltarea de modele experimentale biomimetice (scratch assay, stres oxidativ) pentru evaluarea vindecării rănilor.

 

Elaborarea de protocoale tehnologice standardizate pentru printare 3D, reticulare și evaluare biologică.

 

Depunerea unei cereri de brevet (A/00200/2025) privind compoziții bioactive pentru accelerarea vindecării rănilor

 

 

 

SAFEMAPS

 

Realizarea unui studiu complex privind identitatea și calitatea suplimentelor alimentare pe bază de Gentiana lutea.

 

Elaborarea unui studiu de piață reprezentativ privind suplimente mono- și multicomponente.

 

Crearea unui model experimental de trasabilitate și control al calității pentru suplimente alimentare pe bază de plante medicinale

 

 

Implementarea unor fluxuri tehnologice standardizate pentru eșantionare, etichetare și arhivare a probelor.

 

 

 

 

BIOCLIMPACT

 

Elaborarea de studii privind dinamica comunităților microbiene cu relevanță pentru proliferarea cianobacteriilor toxice.

 

Dezvoltarea de modele de distribuție a speciilor vegetale rare (ex. Lychnis nivalis), relevante pentru conservare.

 

Realizarea de modele experimentale integrate privind răspunsul organismelor la schimbările climatice.

 

Dezvoltarea de tehnologii de micropropagare și conservare ex situ pentru specii vegetale periclitate.

 

Crearea unei baze de date biochimice și genetice pentru monitorizarea biodiversității.

 

 

 

BIOPROTECT

 

Realizarea unei evaluări entomologice detaliate (inclusiv ihneumonide) ca bioindicatori ai stării ecosistemelor forestiere.

 

 

Caracterizarea ecofiziologică și morfo-structurală a speciilor forestiere dominante din situri Natura 2000.

 

Identificarea presiunilor antropice și climatice cu impact asupra serviciilor ecosistemice forestiere.

 

Elaborarea unui model conceptual de evaluare a vulnerabilității ecosistemelor forestiere.

 

Formularea de soluții de conservare fundamentate științific, direct transferabile către planurile de management Natura 2000.

 

 

 

Please select an item.